Hoy demostrare 1 lema relacionado a partir de la derivada
demostraremos este lema
Para demostrar este lema lo único que necesitaremos será utilizar la formula de el producto de leibniz que es el siguiente
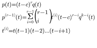
Muy bien ahora solo sustituyendo datos se tiene que
Para la derivada r-1th se tiene
Si nos fijamos muy bien todos los términos de la suma tienen como factor común (t-c) por lo tanto se cumple para todos los enteros hasta llegar a r-1 si se deriva una vez más podremos ver que el ultimo termino no contendrá el factor común por lo tanto la prueba a terminado
Cualquier observación o error DEJEMELO saber en los comentarios




0 Comentarios