la funcion phi que calcula la cantidad de numeros coprimos anteriores a n
la funcion phi que calcula la cantidad de numeros coprimos anteriores a n para entend…
la funcion phi que calcula la cantidad de numeros coprimos anteriores a n para entender como calcular los numeros coprimos anteriores o menores que …
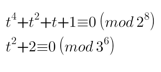
Leer máshola en este caso resolvere unos ejercisios como simple ejemplo de como usar el lema de hensel a resolver congruencias de polinomios con potencias p…
Leer mása quien no le gustaria resolver las siguientes congruencias de la manera mas rapida y facil posible por suerte existe una herramienta atribuida a he…
Leer másDemostracion de el pequeño teorema de fermat hola en este dia demostrare una variante de el pequeño teorema de fermat mas adelante demostrare el teo…
Leer másresolucion de congruencias de polinomios con potencias de numeros primos hola en esta ocasion como resolver congruencias con potencias de numeros en…
Leer máscomo resolver un sistema de 3 congruencias sin utilizar el teorema del residuo chino hola en este día enseñare como se resuelve el siguiente siste…
Leer máslocalización de raíces enteras usando aritmética modular hola en este día traeré un ejemplo muy simple de como se puede utilizar la aritmética modula…
Leer más
la funcion phi que calcula la cantidad de numeros coprimos anteriores a n para entend…